Electron density
Electron density is the measure of the probability of an electron being present at a specific location.
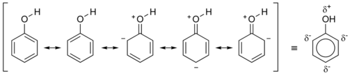
In molecules, regions of electron density are usually found around the atom, and its bonds. In de-localized or conjugated systems, such as phenol, benzene and compounds such as hemoglobin and chlorophyll, the electron density covers an entire region, i.e., in benzene they are found above and below the planar ring. This is sometimes shown diagrammatically as a series of alternating single and double bonds. In the case of phenol and benzene, a circle inside a hexagon shows the de-localized nature of the compound. This is shown below:

In compounds with multiple ring systems which are interconnected, this is no longer accurate, so alternating single and double bonds are used. In compounds such as chlorophyll and phenol, some diagrams show a dotted or dashed line to represent the de-localization of areas where the electron density is higher next to the single bonds.[1] Conjugated systems can sometimes represent regions where electromagnetic radiation is absorbed at different wavelengths resulting in compounds appearing coloured. In polymers, these areas are known as chromophores.
In quantum chemical calculations, the electron density, ρ(r), is a function of the coordinates r, defined so ρ(r)dr is the number of electrons in a small volume dr. For closed-shell molecules, can be written in terms of a sum of products of basis functions, φ:
where P is the density matrix. Electron densities are often rendered in terms of an isosurface (an isodensity surface) with the size and shape of the surface determined by the value of the density chosen, or in terms of a percentage of total electrons enclosed.
Molecular modeling software often provides graphical images of electron density. For example, in aniline (see image at right). Graphical models, including electron density are a commonly employed tool in chemistry education.[2] Note in the left-most image of aniline, high electron densities are associated with the carbons and nitrogen, but the hydrogens with only one proton in their nuclei, are not visible. This is the reason that X-ray diffraction has a difficult time locating hydrogen positions.
Most molecular modeling software packages allow the user to choose a value for the electron density, often called the IsoValue. Some software[3] also allows for specification of the electron density in terms of percentage of total electrons enclosed. Depending on the IsoValue (typical units are electrons per cubic bohr), or the percentage of total electrons enclosed, the electron density surface can be used to locate atoms, emphasize electron densities associated with chemical bonds, or to indicate overall molecular size and shape.[4]
Graphically, the electron density surface also serves as a canvas upon which other electronic properties can be displayed. The electrostatic potential map (the property of electrostatic potential mapped upon the electron density) provides an indicator for charge distribution in a molecule. The local ionization potential map (the property of local ionization potential mapped upon the electron density) provides an indicator of electrophilicity. And the LUMO map (lowest unoccupied molecular orbital mapped upon the electron density) can provide an indicatory for nucleophilicity.[5]
Electron densities are often probed with X-ray diffraction scans, where X-rays of a suitable wavelength are targeted towards a sample and measurements are made over time to represent, probabilistically, where electrons can be found, from these positions molecular structures can often be determined for crystallized systems. Quantum electrodynamics and some branches of quantum theory also study and analyze electron superposition and other phenomena. Quantum tunneling and quantum entanglement are interesting areas involving electrons (or photons). High speed electrons are often used in transmission electron microscopy (TEM) and deep inelastic scattering, as well as many other high-speed particle experiments involving electrons.
Mulliken population analysis is based on electron densities in molecules and is a way of dividing the density between atoms to give an estimate of atomic charges.
Spin density
Spin density is electron density applied to free radicals. It is defined as the total electron density of electrons of one spin minus the total electron density of the electrons of the other spin. One of the ways to measure it experimentally is by electron spin resonance,[6] neutron diffraction allows direct mapping of the spin density in 3D-space.
See also
- Difference density map
- Electron cloud
- Electron configuration
- Resolution (electron density)
- Charge density
References
- ↑ e.g., the white line in the diagram on Chlorophylls and Carotenoids
- ↑ Alan J. Shusterman and Gwendolyn P. Shusterman (1997). "Teaching Chemistry with Electron Density Models". The Journal of Chemical Education. ACS Publications. 74 (7): 771–775. Bibcode:1997JChEd..74..771S. doi:10.1021/ed074p771.
- ↑ or example, the Spartan program from Wavefunction, Inc.
- ↑ Warren J. Hehre, Alan J. Shusterman, Janet E. Nelson (1998). The Molecular Modeling Workbook for Organic Chemistry. Irvine, California: Wavefunction, Inc. pp. 61–86. ISBN 1-890661-18-X.
- ↑ Hehre, Warren J. (2003). A Guide to Molecular Mechanics and Quantum Chemical Calculations. Irvine, California: Wavefunction, Inc. pp. 85–100,. ISBN 1-890661-06-6.
- ↑ IUPAC Gold Book Link